[경기북부] 2019년 제2차 경찰공무원(순경) 시험 필기합격자명단(8월 31일 시행) > 합격자발표 | 대전중앙경찰학원

합격자발표

HOME > 합격자안내 > 합격자발표

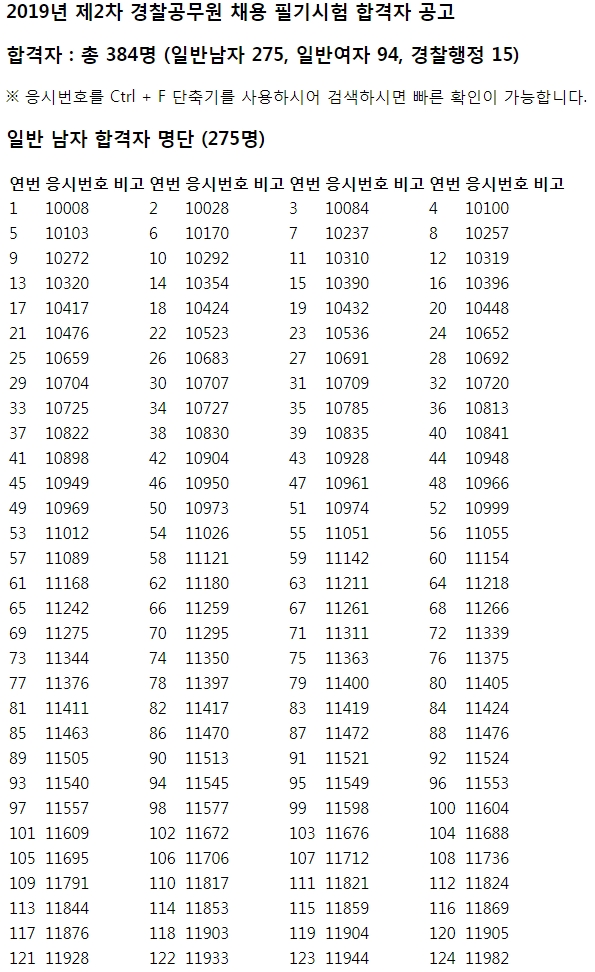
공지 [경기북부] 2019년 제2차 경찰공무원(순경) 시험 필기합격자명단(8월 31일 시행)

페이지 정보

profile_image
작성자 중앙경찰학원
댓글 0건 조회 3,190회 작성일 19-09-04 16:02

본문



경기북부1.jpg

경기북부2.jpg

경기북부3.jpg

경기북부4.jpg


.

카톡

문풀

채용확대

패스독서실

아이패스넷

CLOSE